
“中央一号文件”擘画的乡村振兴蓝图,全国品牌所深化布局,县域律所正在迎来发展的新窗口期。 2025年“中央一号文件”《中共中央 国务院关于进一步深化农村改革 扎实推进乡村全面振兴的意见》明确提出“维护农村稳定安宁”,文件强调通过法治手段保障粮食安全、巩固脱贫成果、发展特色产业,这与县域法律服务市场的扩张形成政策共振。 律新社研究中心根据2024年11月竞争力智库、北京中新城市规划设计研究院等机构发布的《中国县域发展监测报告2024》中“2024中国综合竞争力百强县市”为基准,以“全国律师执业诚信信息公示平台”数据为依据(数据检索截至2025年3月5日),对2024年百强县市的律师行业发展进行全面分析。全国百强县市已集聚律所1248家,执业律师达14564人,平均每县市拥有律所超12家、律师近150人。在乡村振兴的时代浪潮中,作为县域经济龙头的浙江义乌,以64家律所的规模雄踞百强县市首位,彰显'世界超市'繁华背后的法治韧性。这一数据虽然勾勒出县域法律服务市场的蓬勃生机,但繁荣背后暗流涌动。全国律所加速“下沉”布局,全国67个百强县市已开设分所201家,汇聚2874名律师,构建起支撑县域治理的律所矩阵。其中,江苏昆山成为分所布局热土,15家分所占比达全市律所总量的23.8%;上海、杭州两地律所表现尤为活跃,各有18家总所在百强县市落子布局。值得关注的是,北京市盈科律师事务所已深耕8个百强县市,以共计359的律师数量规模领衔分所布局,折射出头部律所对县域市场的战略聚焦。 近五年,全国律所在百强县市新增分所达92家,其凭借品牌溢价、技术代差和资源虹吸效应,给本土律所生存空间带来了一定的挤压。如何让县域法律服务行业健康发展,既考验着行业智慧,也预示着县域法治或将催生出融合现代法治精神与乡土治理智慧的新模式。
根据竞争力智库、北京中新城市规划设计研究院等机构发布的“2024中国综合竞争力百强县市”,2024中国百强县市分布在16个省份,其主要特征是中国百强县市地区生产总值平均为1267.76亿元,其中,约六成突破千亿元,有10个突破两千亿元;地区生产总值平均增速达到6.4%,比全国高1.2个百分点,近八成百强县增速跑赢全国;在全国人口下降、县域人口普遍流出的大趋势下,超过一半的百强县市实现常住人口净流入,人口“磁吸效应”显著。【1】
同时,根据律新社研究中心的数据检索,截至2025年3月5日百强县市律所数量为1248家、律师人数达到14564人(详见表1),除山东邹平市没有设立律所外,其余99个县市均设立了律所,表明律师行业发展总体良好。
▼ 表1 ▼
就时间轴来看(见表2),从1980年的7家律所到2025年3月5日的1248家律所,我国百强县市律师行业发展速度并不均衡,在第一阶段(1980-1989)只有27家律所,而在第二阶段(1990-1999)则达到129家律所,律师人数更是超过第一阶段的5倍之多。第三阶段(2000-2004),进入21世纪初,5年的律所增长已经超过第二阶段十年的增长速度,但平均增长速度不及上一阶段。第四阶段(2005-2014),这一阶段相较于前一个阶段趋于平稳,且律师人数增长略低于前一阶段。第五阶段(2015-2025),这一阶段我国律师服务行业迎来了一系列重大政策改革和制度完善,主要集中在执业权利保障、法律援助制度优化、参与社会治理深化等方面。提速增长显著,同第四阶段的十年相比较,律所增长超过一倍,律师增长更是接近3倍。体现出县域律师服务行业的发展已经从乡土社会的“熟人调解”到现代法治的“智慧矩阵”,从法律服务“荒漠”到“毛细血管”全覆盖。
▼ 表2 ▼
在律所数量的增长背后,是一场激烈的区域较量。江苏与浙江,这两颗长三角明珠,不仅在百强县市数量上分别以24个、22个处于领先,还以律所数量之冠彰显着法治与经济的高度共鸣。江苏以405家律所位居榜首,浙江以364家紧随其后,两省律所数量占全国百强县律所总量的61.1%,律师人数更是达到全国百强县律师总人数的69.5%。这其中,在江苏昆山,63家律所扎堆,形成法律服务'集团军';而在浙江义乌,'世界超市'的繁华背后,是律所矩阵的强力支撑,以64家律所成为百强县市中第一名。这两地不仅是县域经济的标杆,更是法治建设的排头兵。
然而在这片法治版图上,东西部差距依然刺眼。当江苏浙江的律所数量动辄数百,陕西府谷县仅1家律所3名律师服务25.6万人口(2022年统计数据),贵州仁怀千亿级的茅台产值的背后,却未能带动当地律所的发展。仅有4家律所的数量,与仁怀的经济地位形成了鲜明对比。
▼ 表3 ▼
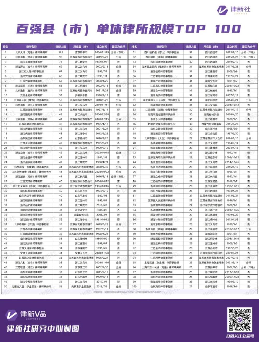
此外,律新社研究中心还对百强县市单体律所规模TOP100进行了统计(见表4),在律所数量不足全国百强县市律所数10%的情况下,TOP100单体律所总人数达到3721人,占全国百强县市律师综述的25.5%,凸显单体规模所的整体实力。其中江苏省共32家律所入围,浙江省45家律所入围,山东省9家律所入围,四川省4家律所入围,湖南省4家律所入围,内蒙古2家律所入围,安徽省2家律所入围,河北省与湖北省各1家律所入围。且除开江苏、浙江入围的律所,单体律所规模最大的是排在第10位的安徽金的律师事务所,在地理位置上亦属于长三角地区。为此,进一步验证百强县市东西部律所发展的不均衡性。
需要说明的是,各地律所在百强县市单体律所规模TOP100单体的设立分所的数量达到32家,表明律所区域下沉已形成一定规模。同时,在分所观察中发现了一个有趣的现象,部分律所的分所并没有在当地地级市的城区作为选址。诸如北京大成(南通)律师事务所选择了南通市如皋市,且其规模在百强县市单体所TOP100规模中名列第一。此外,还有诸如浙江浙杭(湖州)律师事务所选址于湖州长兴县,四川恒和信(凉山)律师事务所、四川明炬(凉山)律师事务所选址于凉山西昌市,上海市亚太长城(南通)律师事务所亦选址于南通市如皋市。这一现象值得在之后深入研究。
▼ 表4 ▼
前述中提到,在百强县市单体律所规模TOP100单体的设立分所的数量达到32家,然而事实上全国各地律所对百强县市这一基层法律服务市场的关注度十分火热。根据统计目前共有67个百强县市开设有分所,分所总数达201家,分所总人数2874人(见表5)。其中,在江苏昆山设立分所最多,达到15家,占该市律所总数的23.8%,律师人数占总律师人数的35.3%。浙江义乌则紧随其后,以14家分所位列第二。这反映出江苏、浙江的律所发展,得益于其强大的县域经济基础。
▼ 表5 ▼
根据律新社研究中心统计,目前在百强县市开设分所的律所148家(见表6),其中总所位于上海和浙江杭州的分别为18家,江苏南京的为12家,北京和山东青岛的分别为10家,除山东青岛本身辖区内有百强县市外,整体上体现出北京、上海杭州、南京律所对百强县市律师服务市场的关注度最高。如北京市盈科律师事务所,已在8个百强县市设立分所,且人数达到359人,成为在百强县市布局分所最多的律所。此外,其他总所在百强县市设立分所大多是因为总所位于该省省会,为扩张本土业务,进而在省内百强县市设立分所,如浙江泽大律师事务所已在浙江省内百强县市设立7家分所;江苏漫修律师事务所在江苏省内百强县市设立4家分所等。还有相当部分总所本身位于百强县市所在地级市,为更好下沉服务市场,仅在本市所辖百强县市设立分所。
▼ 表6 ▼
此外,昆山、江阴、张家港等地,GDP总量在全国县域中名列前茅。经济的繁荣,带来了复杂的法律需求:企业并购、知识产权、跨境贸易……这些需求如同市场引擎,驱动着律所数量的快速增长,且更能够吸引北京、上海等地律所。在昆山设立的15家分所中,总所位于北京、上海的律所占到11家。
▼ 表7 ▼
而浙江律所的发展,则与其民营经济的活跃密不可分。义乌的小商品市场、温州的民营企业家群体,为律所提供了广阔的服务空间,这些因素对于律所的吸引尤为重要。而事实上,在义乌设立分所的14家律所中,总所位于浙江本土的为9家,此外,总所位于北京的2家,位于上海、广东、江苏的各1家。总体呈现出本地区域律所为义乌民营企业提供法律服务的趋势。
▼ 表8 ▼
从百强县市分所设立的趋势来看(见表9),近五年增长的数量已经超过第三阶段10年的总和,总所携资源、品牌、技术三重优势,在百强县市掀起法律服务“标准化”革命,对本土律所将造成猛烈的冲击。这些冲击可能体现在以下几方面:
资源虹吸:总分所通过“城市资源+县域窗口”模式,吸引优质案源与人才向城市回流,本土律所将面临“空心化”风险;
品牌碾压:总分所凭借品牌影响力,在政府采购、企业合作中占据先机,本土律所的传统“人情案源”模式恐难以为继;
技术代差:随着人工智能在诸多规模所布局,以AI合同审查、区块链存证等技术工具的应用为代表,使总分所服务效率大幅提升,本土律所易陷入“手工作坊”困境。
▼ 表9 ▼
2025年“中央一号文件”为县域法治建设注入新动能,明确“加强乡村法治建设”“完善法律服务体系”,百强县市律所从1249家的规模扩张,到“毛细血管”般的服务渗透,既是乡村振兴的法治注脚,亦暗藏市场洗牌的风暴眼。
当总所“下沉”已成定局,本土律所正面临一场前所未有的冲击。面对冲击,本土律所需以“在地化”智慧破局,以“数字化”工具提升效能,以“政策性”机遇拓展空间。唯有如此,方能在法治下沉浪潮中,既守住乡土根脉,又拥抱时代浪潮。而总分所与本土律所的“竞合共生”,或将催生出中国县域法治的第三种形态——既有城市法的严谨,又带乡土情的温度。
扫码查看 全国百强县市律所名录
【1】《中国县域发展监测报告2024》发布 中国百强县市、中国百强区名单揭晓,https://cnews.chinadaily.com.cn/a/202411/19/WS673c49eba310b59111da4454.html,2025年3月4日访问。